In recent years, a seemingly "extreme" health program has become increasingly popular in gyms, sports rehabilitation centers, and even beauty salons: Whole-Body Cryotherapy (WBC).

Stepping into a cryo-chamber with temperatures potentially as low as -100°C to -180°C and staying there for 3–5 minutes can supposedly restore physical strength, relieve pain, and even extend healthy lifespan.
Sounds amazing, right? However, many cautious netizens have expressed concerns about its safety.
So what exactly is this cutting-edge technology? Is it really that effective? Seeing is believing...
Today, let's unveil the first layer of its mystery in one article!
Whole-body cryotherapy refers to a treatment method that exposes the human body to extremely low temperatures (usually between -100°C and -180°C) for a short period to stimulate the body's natural defense mechanisms.
The technique aims to improve blood circulation, reduce inflammation, and enhance antioxidant capacity.
The concept is not new. Humans have long known that applying ice can reduce inflammation and pain.

Around 400 BC, Hippocrates recorded using ice or snow to constrict blood vessels and treat injuries.
In the late 1970s, Japanese physician Dr. Toshima Yamaguchi noticed that rheumatoid arthritis patients improved during winter.
This inspired him to explore cryotherapy to treat rheumatoid arthritis.

Dr. Yamaguchi later discovered that short-term rapid freezing significantly reduced pain sensitivity and was more beneficial than ice baths.
This laid the foundation for modern whole-body cryotherapy.
In 1984, German rheumatologist Prof. Reinhard Fricke introduced whole-body deep cryotherapy into the medical field.
Polish researchers later expanded and promoted the therapy.
Today, WBC is widely used in sports science, aesthetics, wellness, and anti-aging.
(Example: NBA star LeBron James uses WBC for post-training muscle recovery.)

When the body is exposed to extreme cold, multiple physiological responses occur.
The brain receives “low-temperature danger signals,” triggering:
Blood flow to the skin and limbs decreases to prioritize essential organs like the heart and brain.

Once you exit the chamber, blood vessels dilate again. The returning blood delivers:
Oxygen
Nutrients
Anti-inflammatory and repair cells
This process also removes metabolic waste and inflammatory markers, supporting recovery and healing.
Although evidence is still emerging, studies have identified several potential benefits of WBC:
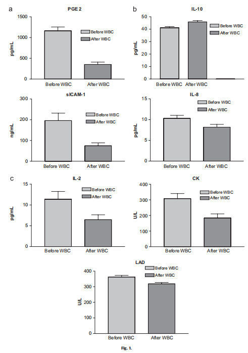
Inflammation and oxidative stress are key obstacles to muscle recovery.
In rugby athletes, WBC at -100°C for 3 minutes every other day significantly increased IL-10 (anti-inflammatory cytokine) and decreased IL-2 and sICAM-1 (pro-inflammatory markers).

Even in non-athletes, total antioxidant capacity has been shown to improve after WBC.
WBC may therefore assist muscle repair and reduce exercise-induced inflammation.
In elderly individuals with mild cognitive impairment (MCI):
WBC increased nitric oxide levels, aiding vasodilation and neuroprotection.
Levels of BDNF (brain-derived neurotrophic factor) also rose, indicating improved neuroplasticity.
Researchers believe WBC could serve as a supportive treatment for cognitive decline.

WBC has shown therapeutic potential for:
Rheumatic diseases
Chronic lower back pain
Frozen shoulder

Its vasoconstriction effect may reduce joint and muscle pain, while anti-inflammatory effects provide additional relief.
Studies also suggest WBC may improve:
Skin aging
Sleep quality
Vascular health
Restless legs syndrome
Multiple sclerosis symptoms
Although research is limited, WBC shows promise as an auxiliary anti-aging intervention.
As cryotherapy becomes popular worldwide, more institutions—including sports rehab centers, beauty clinics, and gyms—now offer WBC services.

The central equipment used is the cryochamber, typically categorized into:
Use liquid nitrogen cooled below -196°C
Chamber temperatures range from -110°C to -180°C
Reach ultra-low temperatures quickly
Provide rapid therapeutic effects
These chambers often include:
Oxygen monitoring
Nitrogen ventilation systems
Emergency stop buttons
Leak protection mechanisms
Users expose the body (head excluded) to the cold in a 3D wraparound environment for uniform cryotherapy.

No liquid nitrogen
Powered entirely by electricity
Typically reach -100°C to -130°C
Considered safer, easier to operate, and cost-effective
A modern alternative to nitrogen-based chambers
Closed designs can cover the entire body from head to toe.
A user described their 3-minute session:
“At first, a sudden chill hit me. My limbs began to feel numb and tingly. The discomfort faded, and once I stepped out, I felt refreshed and clear-headed.”
Whole-body cryotherapy offers a unique and extreme cold experience. It may provide short-term benefits, but scientific evidence is still developing, and some claims are exaggerated.
If you're interested in trying WBC:
Check your health condition
Choose a certified and reputable facility
Treat it as a supporting therapy, not a miracle cure
Welcome to contact Yuncong factory to learn more.